HL Paper 3
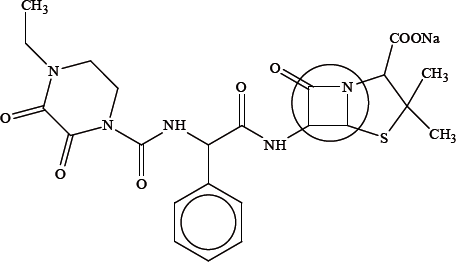
The structure of a drug is shown below:

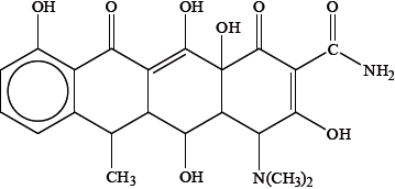
Another drug that can have a similar effect to the one shown in (a) is doxycycline, shown below.

Identify the class of drugs to which this particular drug belongs.
Explain the high reactivity of the part of the drug that is enclosed in the circle.
Suggest why the drug is administered as its sodium salt.
Because it contains several –OH groups and an amine group, doxycycline is slightly polar. Identify the amine group by drawing a circle around it on the structure above and state whether it is a primary, secondary or tertiary amine.
Suggest one way in which the polarity of doxycycline could be substantially increased.
Deduce the number of chiral carbon atoms in doxycycline and explain why chirality is important when considering its action in the body.
Markscheme
penicillin(s)/antibacterial(s)/antibiotic;
(\(\beta \)-lactam) ring is strained;
Accept stressed.
sp3 and sp2 hybridization;
bond angles are 90° / less than 120° and 109.5° / OWTTE;
(the sodium salt) makes the penicillin ionic/more polar;
this increases its solubility in water/more concentrated in bloodstream / makes it more able to be absorbed by the body / OWTTE;
;
Circle must go around the N atom (joined to the two CH3 groups) and not include more than the two CH3 groups and the carbon atom in the ring directly bonded to it.
Accept a circle around the –N(CH3)2 without including the carbon atom of the ring.
tertiary;
M2 can only be awarded if M1 is correct.
react with hydrochloric acid/any other named strong acid / convert the amine group into a salt/ammonium ion/its hydrochloride/any other named product;
Accept amino for amine group.
react with sodium hydroxide/\({\text{O}}{{\text{H}}^ - }\) / convert a phenolic/OH group on the benzene ring/ into a phenoxide ion/sodium salt;
six/6;
The different enantiomers/isomers may have different physiological/pharmacological effects on the body / one enantiomer benefits the body, the other might not / OWTTE;
Accept a specific example such as thalidomide.
Accept one enantiomer could have a toxic effect.
Do not allow just “has different effects”.
Examiners report
Part a) (i) was very well answered overall.
In a) (ii) while many candidates showed familiarity with the \(\beta \)-lactam ring, not as many were able to convey arguments that allowed them to score.
Good candidates achieved at least one mark in a) iii) for the increase in polarity although often answers for this question were vague and just referenced an increase in solubility’ without specifying ‘in water’. The reason for converting the drug into a sodium salt was often incorrectly linked to digestion as opposed to making the molecule more polar.
A fair number of candidates incorrectly circled the NH2 group of the amide group and classified this as a primary amine.
Many had difficulty explaining how to make the drug more polar in b) ii).
Most candidates obtained second mark in this question and very few identified the correct number of chiral carbons.
Compound X has the molecular formula \({{\text{C}}_{\text{3}}}{{\text{H}}_{\text{6}}}{{\text{O}}_{\text{3}}}\) and is found in human perspiration.
Its infrared (IR) spectrum is represented below.

Deduce the bonds responsible for the absorptions labelled I and II.
I:
II:
The \(^{\text{1}}{\text{H}}\,{\text{NMR}}\) spectrum recorded showed four peaks with the following chemical shift values (in ppm):

The integration trace for A:B:C:D was found to be 1:1:1:3.
Deduce what information can be obtained about the hydrogen atoms responsible for peak D at 1.2 ppm from the integration trace in the \(^{\text{1}}{\text{H}}\,{\text{NMR}}\) spectrum of X.
Deduce the fragments in the mass spectrum which correspond to the following \(m{\text{/}}z\) values.
\(m{\text{/}}z = 45\):
\(m{\text{/}}z = 17\):
\(m{\text{/}}z = 15\):
Deduce the structural formula of X.
Y is an isomer of X, which contains the same functional groups. Deduce the structural formula of Y.
(i) Like X, 3-methylbutanoic acid is also a source of body odour. Deduce the \(m{\text{/}}z\) value for the molecular ion peak on the mass spectrum of this compound.
(ii) Ethyl propanoate (ethyl propionate) is an isomer of 3-methylbutanoic acid. Its \(^{\text{1}}{\text{H}}\,{\text{NMR}}\) spectrum consists of four peaks.
Deduce the ratios of the areas under each peak in the \(^{\text{1}}{\text{H}}\,{\text{NMR}}\) spectrum of ethyl propanoate. For each peak, deduce the range of chemical shift values (in ppm), using Table 18 of the Data Booklet, and predict the splitting pattern.

Markscheme
I: O–H and II: C=O;
Do not allow CO for C=O.
Allow OH for O–H.
three hydrogens in same (chemical) environment / CH3/methyl (group);
Award [2] for all three correct, [1] for any two correct.
\(m{\text{/}}z = 45\):
\({\text{COO}}{{\text{H}}^ + }/{\text{C}}{{\text{O}}_2}{{\text{H}}^ + }/{{\text{C}}_2}{{\text{H}}_5}{{\text{O}}^ + }\);
\(m{\text{/}}z = 17\):
\({\text{O}}{{\text{H}}^ + }\);
\(m{\text{/}}z = 15\):
\({\text{CH}}_3^ + \);
Penalize missing + once only.
\({\text{C}}{{\text{H}}_{\text{3}}}{\text{CH(OH)COOH}}/{\text{C}}{{\text{H}}_{\text{3}}}{\text{CH(OH)C}}{{\text{O}}_{\text{2}}}{\text{H}}\);
Allow full or condensed structural formula.
\({\text{C}}{{\text{H}}_2}{\text{(OH)C}}{{\text{H}}_2}{\text{COOH}}/{\text{HO(C}}{{\text{H}}_2}{{\text{)}}_2}{\text{COH}}\);
Allow full or condensed structural formula.
(i) 102;
(ii) 
Award [3 max] for four correct rows.
Award [2 max] for any two or three correct rows and [1 max] for any correct row.
Examiners report
There were good answers to Q3 but the usual errors were encountered, such as the omission of a positive charge on mass spectrum fragments. Many were able to deduce the structure of the lactic acid although an ether was a common suggestion. It was disappointing to note that many candidates could not provide the correct \(m{\text{/}}z\) value for 3-methylbutanoic acid. Candidates found the \(^{\text{1}}{\text{H}}\,{\text{NMR}}\) information difficult although most candidates managed to give one line correctly.
There were good answers to Q3 but the usual errors were encountered, such as the omission of a positive charge on mass spectrum fragments. Many were able to deduce the structure of the lactic acid although an ether was a common suggestion. It was disappointing to note that many candidates could not provide the correct \(m{\text{/}}z\) value for 3-methylbutanoic acid. Candidates found the \(^{\text{1}}{\text{H}}\,{\text{NMR}}\) information difficult although most candidates managed to give one line correctly.
There were good answers to Q3 but the usual errors were encountered, such as the omission of a positive charge on mass spectrum fragments. Many were able to deduce the structure of the lactic acid although an ether was a common suggestion. It was disappointing to note that many candidates could not provide the correct \(m{\text{/}}z\) value for 3-methylbutanoic acid. Candidates found the \(^{\text{1}}{\text{H}}\,{\text{NMR}}\) information difficult although most candidates managed to give one line correctly.
There were good answers to Q3 but the usual errors were encountered, such as the omission of a positive charge on mass spectrum fragments. Many were able to deduce the structure of the lactic acid although an ether was a common suggestion. It was disappointing to note that many candidates could not provide the correct \(m{\text{/}}z\) value for 3-methylbutanoic acid. Candidates found the \(^{\text{1}}{\text{H}}\,{\text{NMR}}\) information difficult although most candidates managed to give one line correctly.
There were good answers to Q3 but the usual errors were encountered, such as the omission of a positive charge on mass spectrum fragments. Many were able to deduce the structure of the lactic acid although an ether was a common suggestion. It was disappointing to note that many candidates could not provide the correct \(m{\text{/}}z\) value for 3-methylbutanoic acid. Candidates found the \(^{\text{1}}{\text{H}}\,{\text{NMR}}\) information difficult although most candidates managed to give one line correctly.
There were good answers to Q3 but the usual errors were encountered, such as the omission of a positive charge on mass spectrum fragments. Many were able to deduce the structure of the lactic acid although an ether was a common suggestion. It was disappointing to note that many candidates could not provide the correct \(m{\text{/}}z\) value for 3-methylbutanoic acid. Candidates found the \(^{\text{1}}{\text{H}}\,{\text{NMR}}\) information difficult although most candidates managed to give one line correctly.
The discovery of penicillin by Alexander Fleming in 1928 is often given as an example of serendipity in science.
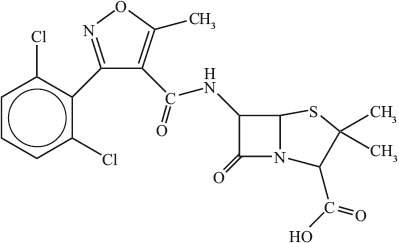
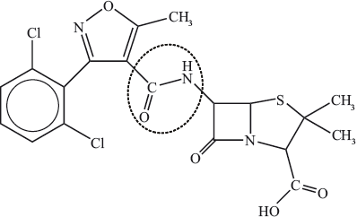
The structure of a particular type of penicillin called dicloxacillin is shown below.

Describe what happens to bacteria when they come into contact with penicillin.
(i) Identify the \(\beta \)-lactam ring by drawing a circle around it.
(ii) Explain why the \(\beta \)-lactam ring is so important in the mechanism of the action
of penicillin.
(iii) State the name of the functional group in dicloxacillin, circled below.

Comment on the fact that many bacteria are now resistant to penicillins.
Markscheme
interferes with enzymes/chemicals that bacteria need to make cell walls / interferes with cell wall formation;
osmosis/osmotic pressure causes cell wall to break/burst / water enters cell causing it to burst / OWTTE;
(i)
;
(ii) ring strain / bond angles are approx 90° / should be 109° or 120° / OWTTE;
ring breaks / produces reactive amide group / OWTTE;
(so) penicillin can become bonded to enzyme/penicillinase;
(iii) amide;
caused by overprescription/overuse/overdose / not completing course of penicillin / use of antibiotics in animal feed / OWTTE;
penicillins with modified side chains must be developed/cocktail of drugs must be taken to overcome resistant bacteria / OWTTE;
Examiners report
Most answers scored at least one mark in (c), or came close to it – most that did not were not specific enough or failed to mention cell walls.
In (d), the \(\beta \)-lactam ring was usually correctly identified, as was the circled amide group. In part (d)(ii), few answers scored full marks, although most identified the relevance of the bond angles in causing ring strain.
In (e), many more scored the overprescription mark than the one for modifying the side chain.
Aspirin is one of the most widely used drugs in the world.
Aspirin was synthesized from 2.65 g of salicylic acid (2-hydroxybenzoic acid) (Mr = 138.13) and 2.51 g of ethanoic anhydride (Mr = 102.10).
Suggest two absorbances, other than the absorbances due to the ring structure and C–H bonds, that would be present in the infrared (IR) spectrum of aspirin.
State two techniques, other than IR spectroscopy, which could be used to confirm the identity of aspirin.
Markscheme
Any two of:
2500–3000 «cm–1» / «absorbance» due to O–H in carboxyl
1700–1750 «cm–1» / «absorbance» due to C=O in carboxyl/ethanoate
1050–1410 «cm–1» / «absorbance» due to C–O bond in carboxyl/ethanoate
Accept “carboxylic acid” for “carboxyl”, “acetate/ester” for “ethanoate”.
Accept specific wavenumber once within indicated range.
Do not award mark if reference is made to an alcohol/ether.
[2 marks]
Any two of:
melting point
mass spectrometry/MS
high-performance liquid chromatography/HPLC
NMR/nuclear magnetic resonance
X-ray crystallography
elemental analysis
Accept “spectroscopy” instead of “spectrometry” where mentioned but not “spectrum”.
Accept “ultraviolet «-visible» spectroscopy/UV/UV-Vis”.
Do not accept “gas chromatography/GC”.
Accept “thin-layer chromatography/TLC” as an alternative to “HPLC”.
[2 marks]
Examiners report
Antimony oxide is widely used as a homogeneous catalyst for the reaction of benzene-1,4-dicarboxylic acid with ethane-1,2-diol in the production of polyethylene terephthalate (PETE).
Deduce the repeating unit of the polymer and the other product of the reaction.
State the class of polymer to which PETE belongs.
Markscheme
Repeating unit:
Other product: water/H2O
Continuation bonds necessary for the mark.
Accept alternative repeating unit with O at other end.
Do not penalize square brackets or n.
[2 marks]
condensation
Accept polyester or thermoplastic.
[1 mark]
Examiners report
In recent years several antiviral medications have been produced. One of these medications is oseltamivir (Tamiflu).
Identify the functional group circled in the structure of oseltamivir.
Predict the number of signals and relative integration you would expect to see in the nuclear magnetic resonance spectroscopy (1H NMR) spectrum for the circled portion in the structure.
Number of signals:
Relative integration:
Oseltamivir is a chiral compound.
(i) Identify an apparatus that can be used to distinguish between its enantiomers.
(ii) Explain how the differentiation between the enantiomers is obtained using this apparatus.
Markscheme
ether
Do not accept “C-O-C”.
Number of signals: 3 «signals»
Relative integration: 6:4:1
Accept any correct ratio order.
(i)
polarimeter
Accept other alternative techniques such as “GC/HLPC/chromatography using a chiral column”.
Do not accept just “polarizer”.
(ii)
«plane-»polarized light passed through sample
analyzer/second polarizer determines the angle of rotation of the plane of polarized light
OR
each enantiomer will rotate plane «of plane-»polarized light in opposite directions «by the same angle»
Accept explanation related to other alternative techniques such as GC/ HLPC/chromatography using a chiral column.
Award [2] for “(+)/d rotates plane of polarization to the right AND (-)/l rotates plane of polarization to the left”.
Examiners report
Polymer nanocomposites often have better structural performance than conventional materials. Lithographic etching and metal coordination are two methods of assembling these nanocomposites.
Dendrimers are highly branched nanoparticles with a wide range of usage. One such dendrimer is PAMAM, or polyamidoamine.
The first step in the synthesis is to make the core by reacting ethane-1,2-diamine with methylpropenoate.
Estimate the atom economy of this first step.
Suggest, giving one reason, whether this is an addition or condensation reaction.
Subsequent steps proceed under differing conditions, forming the dendrimer polymer with the following repeating unit.
State the name of one functional group in this repeating unit.
Markscheme
100%
Accept “almost 100%” if a catalyst is referred to.
[1 mark]
addition AND no atoms removed/all atoms accounted for/no loss of water/ammonia/inorganic by-product/small molecules
OR
addition AND there is only one «reaction» product
[1 mark]
amido
OR
amino
Accept “amide/carboxamide/carbamoyl” for “amido”.
Accept “amine“ for “amino”.
Accept “carbonyl”.
[1 mark]